Предмет: Алгебра,
автор: Аноним
ПОМОГИТЕ ПЖ НАДА ДО 21:00
Приложения:
Ответы
Автор ответа:
2
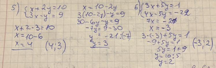
Відповідь на 5 і 6 завдання
Приложения:
Похожие вопросы
Предмет: Українська мова,
автор: alisasemkova777
Предмет: Другие предметы,
автор: erkezhan177
Предмет: Математика,
автор: magamaevadiana10
Предмет: История,
автор: AlexScreens
Предмет: Биология,
автор: marynarohkova46