Предмет: Алгебра,
автор: Аноним
Алгебра. Даю 100 балів. потрібно вирішити завдання з максимальним поясненням щоб було усе зрозуміло будь ласка.
з дуже детальним поясненням будь ласка
Приложения:
Ответы
Автор ответа:
1
Объяснение:
1.
высота Н=12 см
апофема h=13 см
объем V=?
V=1/3•a²•H
в основании квадрат со стороной а.
по теореме Пифагора:
а/2=√(h²-H²)=√(13²-12²)=√25=5 см
а=2•5=10 см
V=1/3•10²•12=400 см³
ответ: 400 см³
2.
МN - средняя линия
МК=13 см
КN=23 см
S=?
биссектриса АС отсекает равнобедреный ∆АВС,где АВ=ВС.
МN=MK+KN=13+23=36 см
MK - cредняя линия ∆АВС ,значит
ВС=2•МК=2•13=26 см
АВ=ВС=26 см
МN=(AD+BC)/2
AD=2•MN-BC=2•36-26=46 cм
АН=LD=(AD-BC)/2=10 см
∆АВН - прямоугольный:
по теореме Пифагора:
ВН=√(АВ²-АН²)=√(26²-10²)=√576=24 см
S=MN•BH=36•24=864 cм²
ответ: 864 см²
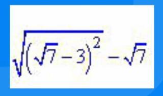
3.
√((√7-3)²)-√7=3-√7-√7=3-2√7
Приложения:
arsenijbrizickij2:
Людмила зайдите в мой профиль и в самом верху задание с алгебры сделайте пожалуйста
только срочно нужно
делать всё что есть на странице
Похожие вопросы
Предмет: Геометрия,
автор: manm76
Предмет: Українська мова,
автор: miralinaromenskaa1
Предмет: История,
автор: snezha06an
Предмет: Информатика,
автор: tolstonogova14
Предмет: Алгебра,
автор: flashnight777