Предмет: Алгебра,
автор: don202352ga
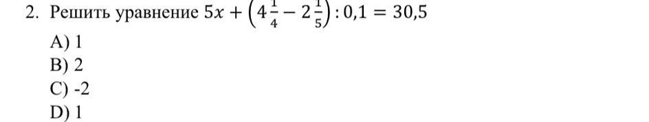
Решите уравнение 5+(41−21):0,1=30,5
A) 1 B) 2 C) -2 D) 1
Приложения:
Ответы
Автор ответа:
1
Ответ:
правильный вариант ответа В
Приложения:
Похожие вопросы
Предмет: Биология,
автор: yevapinko
Предмет: Алгебра,
автор: nndia
Предмет: Другие предметы,
автор: htoto121
Предмет: Литература,
автор: Kseniasharkova50
Предмет: Алгебра,
автор: kruglenkonata804