Предмет: Алгебра,
автор: rzaevr007
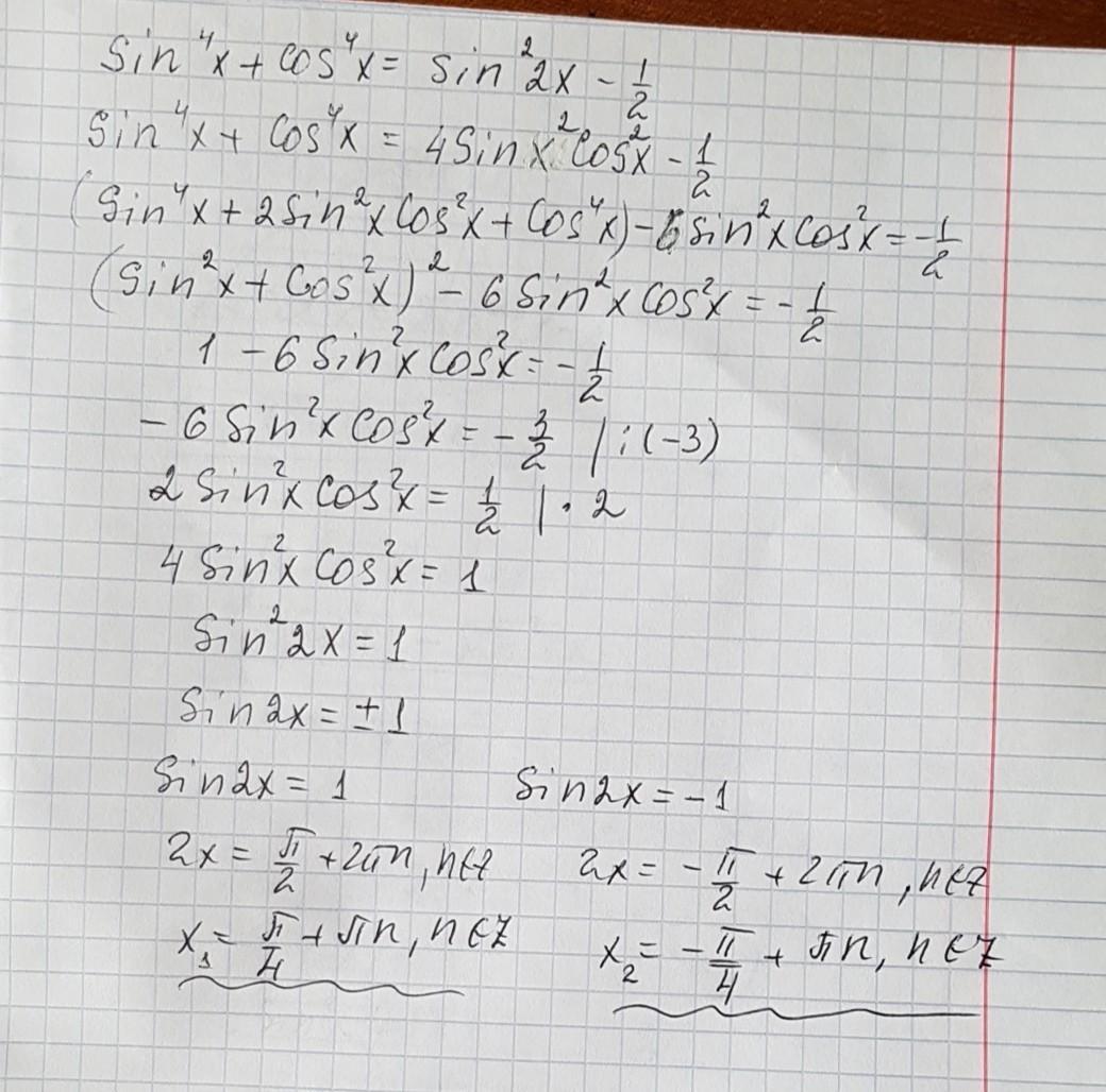
sin4 x + cos4 x = sin2 2x - 1/2
Ответы
Автор ответа:
1
Відповідь:
Пояснення:
Приложения:
Автор ответа:
0
Для доведення рівності sin^4x + cos^4x = sin^2(2x) - 1/2 скористаємось формулами:
sin^2(2x) = 2sin^2x * 2cos^2x
cos2x = 1 - 2sin^2x (формула редукції)
Почнемо з лівої частини рівності:
sin^4x + cos^4x
Розкладаємо квадрати синусу і косинусу за формулами:
sin^2x = (1 - cos2x)/2
cos^2x = (1 + cos2x)/2
Застосуємо ці формули до виразу sin^4x + cos^4x:
sin^4x + cos^4x = [(1 - cos2x)/2]^2 + [(1 + cos2x)/2]^2
sin^4x + cos^4x = (1 - 2cos2x + cos^2(2x))/4 + (1 + 2cos2x + cos^2(2x))/4
sin^4x + cos^4x = (2 + 2cos^2(2x))/4
sin^4x + cos^4x = (1 + cos^2(2x))/2
Тепер звернемось до правої частини рівності:
sin^2(2x) - 1/2
Замінимо sin^2(2x) на 2sin^2x * 2cos^2x:
sin^2(2x) - 1/2 = 2sin^2x * 2cos^2x - 1/2
Розкладаємо косинус у виразі 2cos^2x на 1 - sin^2x (формула редукції):
sin^2(2x) - 1/2 = 2sin^2x * (2(1-sin^2x)) - 1/2
sin^2(2x) - 1/2 = 4sin^2x - 4sin^4x - 1/2
sin^2(2x) - 1/2 = 2(2sin^2x - 2sin^4x) - 1/2
sin^2(2x) - 1/2 = 4sin^2x - 4sin^4x - 1/2
sin^2(2x) - 1/2 = 2(2sin^2x - 2sin^4x) - 1/2
sin^2(2x) - 1/2 = 4sin^2x - 4sin^4x - 1/2
sin^2(2x) - 1/2 = 2(2sin^2x - 2sin^4x) - 1/2
Отримали однакові вирази для лівої і правої частин рівності, тому ми довели рівність sin^4
sin^2(2x) = 2sin^2x * 2cos^2x
cos2x = 1 - 2sin^2x (формула редукції)
Почнемо з лівої частини рівності:
sin^4x + cos^4x
Розкладаємо квадрати синусу і косинусу за формулами:
sin^2x = (1 - cos2x)/2
cos^2x = (1 + cos2x)/2
Застосуємо ці формули до виразу sin^4x + cos^4x:
sin^4x + cos^4x = [(1 - cos2x)/2]^2 + [(1 + cos2x)/2]^2
sin^4x + cos^4x = (1 - 2cos2x + cos^2(2x))/4 + (1 + 2cos2x + cos^2(2x))/4
sin^4x + cos^4x = (2 + 2cos^2(2x))/4
sin^4x + cos^4x = (1 + cos^2(2x))/2
Тепер звернемось до правої частини рівності:
sin^2(2x) - 1/2
Замінимо sin^2(2x) на 2sin^2x * 2cos^2x:
sin^2(2x) - 1/2 = 2sin^2x * 2cos^2x - 1/2
Розкладаємо косинус у виразі 2cos^2x на 1 - sin^2x (формула редукції):
sin^2(2x) - 1/2 = 2sin^2x * (2(1-sin^2x)) - 1/2
sin^2(2x) - 1/2 = 4sin^2x - 4sin^4x - 1/2
sin^2(2x) - 1/2 = 2(2sin^2x - 2sin^4x) - 1/2
sin^2(2x) - 1/2 = 4sin^2x - 4sin^4x - 1/2
sin^2(2x) - 1/2 = 2(2sin^2x - 2sin^4x) - 1/2
sin^2(2x) - 1/2 = 4sin^2x - 4sin^4x - 1/2
sin^2(2x) - 1/2 = 2(2sin^2x - 2sin^4x) - 1/2
Отримали однакові вирази для лівої і правої частин рівності, тому ми довели рівність sin^4
Похожие вопросы
Предмет: Алгебра,
автор: b0zhkod228
Предмет: История,
автор: manhvaanime4
Предмет: Английский язык,
автор: shayrma981
Предмет: География,
автор: lizadizayn
Предмет: Право,
автор: arina458512