Предмет: Алгебра, автор: sasborodijcuk

1. (6 балів) Розв'яжіть квадратні рівняння:

Приложения:

Ответы

Автор ответа: dobra888
0

Відповідь:

Пояснення:

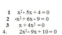
1 .  x² - 5x + 4 = 0 ;    D = b² - 4ac = (- 5 )²- 4*1*4 = 9 > 0 ; x₁ = 1 ; x₂ = 4 ;

2. - x² + 6x - 9 = 0 ;   D = 0 ;    x = 3 ;

3.   x + 4x² = 0 ;  ----->   x( 4x + 1 ) = 0 ;    x₁ = - 1/4 ; x₂ = 0 ;

4.  2x² - 9x + 10 = 0 ;   D = 1 > 0 ;    x₁ = 2 ; x₂ = 2,5 .

Похожие вопросы
Предмет: Оʻzbek tili, автор: maripovanafisa
Предмет: Українська мова, автор: ioskreker
Даю 100 балов СРОЧНО Контрольний стислий письмовий переказ розповідного тексту 1. Уважно прочитайте текст, складіть простий план. Напишіть стислий переказ.

Кавові рослини Кавові рослини- це вічнозелені рослини або кущі до 12 м заввишки. Їх білі квіти нагадують жимолость, а плоди схожі на великі вишні, містять по дві плескато- опуклі насінини так звані кавові зерна. Дерева дають урожай до 50 років, одне дерево- майже 3 кг на рік. Батьківщина кави місцевість Кафа в південно-західній частині Ефіопії в Африці. Звідси її назва.

Є різні легенди про те, як було відкрито тонізуючу властивість кави. За однією з них, пастух на ім'я Калді помітив, що його кози чомусь усю ніч непокоїлись і не спали. Як з'ясувалось, кози їли темно-зелене листя кущів, котрі росли поряд. Пастух розповів про це монахам розташованого поблизу монастиря. Вони заварили зірвані з кущів плоди. Вийшов приємний збуджуючий напій. Відтоді монахи стали пити його, щоб не засипати під час нічних молитов.

Відкриття кави відносять приблизно до 850 року. Але повне визнання її прийшло на багато століть пізніше. Арабам знадобилася не одна сотня років, щоб навчитись робити з цих чудових зерен напій.

Арабські купці, заохочуючи до неї правовірних, з рекламною метою запевняли, що той, хто п'є каву, потрапить у рай. До того ж напій приємно збуджував і замінював вино, пити яке забороняється мусульманською релігією. Реклама подіяла: по всій Аравії з'явилося багато кав'ярень, де продавали тонізуюче питво. Крім того, тут можна було зустрітись із знайомими, обмінятися новинами й відпочити. Незабаром мусульманське духівництво, стурбоване тим, що кав'ярні відвідують охочіше ніж мечеті, почало переслідувати любителів кави.

«Пророк заборонив пити одурманюючі напої», переконували вони. Під

їхнім впливом при султані Магомеді 4 кав'ярні були заборонені, а шанувальників кави страчували або зашивали в лантухи з під кавових зерен і кидали в море. Та це не допомогло, і кав'ярні все ж продовжували існувати надалі, я чисельність їх відвідувачів зростала.

Зрозумівши, нарешті, що боротьбу з кавою не виграти, султан Сулейман 3 змушений був зняти заборону: у Корані священній книзі мусульман немає заперечень саме проти кави. До того ж, і сам султан разом зі своїми наближеними залюбки вживав цей приємний ароматичний напій. Кава швидко захопила всі країни ісламу. А через тодішніх дипломатів проникла й до інших країн.
Предмет: Математика, автор: zaickinila6