Предмет: Физика, автор: annasolonevic2

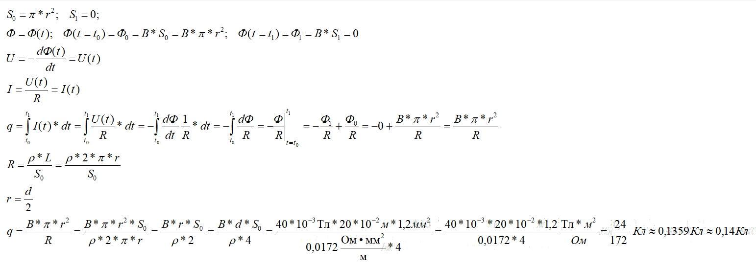
Круговой виток диаметром 20 см из медного провода площадь поперечного сечения которого 1.2 мм² расположен в однородном магнитном поле модуль индукции которого 40 мТл перпендикулярно линиям магнитной индукции. Определите, какой заряд пройдет по витку, если виток вытянуть в сложенный вдвое отрезок прямой?


IUV: рівень 1-4 класи ?

Ответы

Автор ответа: IUV
1

Відповідь:

Пояснення:

через зміну потока вектора В (поток вектора магнітної індукції позначається літерою Ф) впродовж деякого часу t виникає електрорушівна сил.
за цей час рамкою проходить електричний струм I, який залежить від  електричного опору рамки.
в той же час електричний струм це кількість заряду за одиницю часу.
тобто кількість пройденого заряду дорівнює сила струму помножена на час.
це пояснення фізики того що відбувається.

Приложения:

Аноним: Доброго ранку! Допоможіть мені будь ласочка з фізикою, завдання у моєму профілі. Буду дуже Вам вдячна!
Аноним: Я Вам дам найкращу відповідь
Аноним: І відмічу дякую
Аноним: Тільки допоможіть мені
Аноним: Бо я не знаю, що мені робити без Вас
Аноним: Допоможіть мені будь ласочка
Аноним: Бо я ж не знаю що мені робити
Аноним: Я у фізиці 0
Аноним: Я вже і підписалася на Вас, для Вашого рейтингу
lolayoulhhghh: Здравствуйте помогите пожалуйста с украинской литературой для меня очень важна эта робота задание у меня в профиле
Похожие вопросы
Предмет: История, автор: macinskaaalina
Предмет: История, автор: valodya119
1. Какие положения из проекта реформ М.М.Сперанского ты считаешь важными и почему?
2. Почему Россия воевала против Франции в третьей и четвертой коалициях?
3. Что помогло России победить Францию в Отечественной войне 1812 г.?
4. Каковы и тоги Венского конгресса. Выгодны ли они были для России?
5. Почему реформы Александра Iне были реализованы?
6. Как ты считаешь, был ли реальным проект Аракчеева по крестьянскому вопросу? Почему?
7. В чём причины возникновения тайных обществ в правление Александра I?
8. Почему при Николае II крестьянский вопрос не был решен?
9. Каковы итоги денежной реформы Е.Ф.Канкрина?
10. Почему либеральное направление в общественном движении делилось на западников и славянофилов?
11. Почему Кавказская война длилась столь долго?
12. В чём причины поражения России в Крымской войне?
13. Какова сущность крестьянской реформы Александра II?
14. Почему кроме аграрной были проведены и другие реформы?
15. Почему завершение промышленного переворота в России наступило позднее, чем в странах Западной Европы?
16. Какое из направлений народничества тебе больше нравится и почему?
17. Каковы итоги Русско-турецкой войны 1877-1878 гг.?
18. Почему при Александре IIIначались контрреформы?
19. Чем «Союз борьбы за освобождение рабочего класса» отличался от других марксистских кружков?
20. Зачем Россия присоединяла Среднюю Азию?
21. Почему Россия проиграла войну Японии?
22. Были ли решены поставленные цели в ходе Первой российской революции?
23. Можно ли сказать, что аграрная реформа П.А.Столыпина была полностью реализована? Обоснуй своё мнение.
Предмет: Алгебра, автор: natusik24