Предмет: Алгебра,
автор: stassmuzychukk
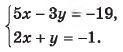
пж с решением срочно 40 балов
Приложения:
Ответы
Автор ответа:
1
Вот ответ (x,y)=(-2,3)
Автор ответа:
1
Ответ:
(x, y)=(-2,3)
Объяснение:
5x-3y=-19
y=-1-2x
Похожие вопросы
Предмет: Английский язык,
автор: sofyarepokos
Предмет: История,
автор: angelinaborosuk
Предмет: Математика,
автор: kushekovaanel
Предмет: Математика,
автор: esalievanellya82