Предмет: Алгебра,
автор: innaovcharuk382
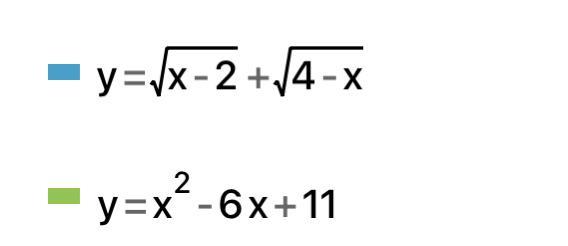
√x−2+√4-x = x² - 6x +11;
Ответы
Автор ответа:
0
ответ в фото, надеюсь помог вам :)
Приложения:
Похожие вопросы
Предмет: Українська література,
автор: Аноним
Предмет: Другие предметы,
автор: staskashtan1987
Предмет: Математика,
автор: jalolkml
Предмет: Английский язык,
автор: vika456555