Предмет: Алгебра,
автор: PeLmAsHeK
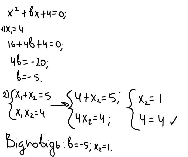
число 4 є коренем рівняння x²+ bx+4 =0 .Знайти значення b і другий корінь рівняння
Приложения:
Ответы
Автор ответа:
0
Ответ:
.
Объяснение:
підставляємо 4 замість х
16+4b+4=0
4b=-20
b=-5
Підставляєм замість b отримане число
x²-5b+4=0
знпходим другий корінь x=1
Автор ответа:
1
Ответ:
Відповідь на фото
Объяснение:
.................
Приложения:
Похожие вопросы
Предмет: История,
автор: vakarenko32
Предмет: Математика,
автор: tamiranurzan26
Предмет: Алгебра,
автор: kuda15236
Предмет: Математика,
автор: ninzakakra
Предмет: Геометрия,
автор: Аноним