Предмет: Алгебра, автор: sasha042008

Срочно!!! Ці приклади!!!
Даю 100 балііііів

Приложения:

Ответы

Автор ответа: сок111213
2

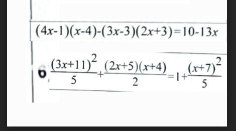
1)

(4x - 1)(x - 4) - (3x - 3)(2x + 3) = 10 - 13x \\ 4 {x}^{2}  - 16x - x + 4 - 6 {x}^{2}  - 9x + 6x + 9 - 10 + 13x = 0 \\  - 2 {x}^{2}  - 7x + 3 = 0 \\ 2 {x}^{2}  + 7x - 3 = 0 \\ a = 2 \\ b =7  \\ c =  - 3 \\ D =  {b}^{2}  - 4ac =  {7}^{2}  - 4 \times 2 \times ( - 3) =  \\  = 49 + 24 = 73 \\ x_{1} = \frac{ - 7 +  \sqrt{73} }{2 \times 2}    =  \frac{ - 7 +  \sqrt{73} }{4} \\ x_{2} = \frac{ - 7  -   \sqrt{73} }{2 \times 2}    =  \frac{ - 7 -  \sqrt{73} }{4}

2)

 \frac{(3x + 11) {}^{2} }{5}  +  \frac{(2x + 5)(x + 4)}{2}  = 1 +  \frac{(x + 7) {}^{2} }{5}  \:  \:  |  \times 10 \\ 2(3x + 11) {}^{2}  + 5(2x + 5)(x + 4) = 10 + 2(x + 7) {}^{2}  \\ 2(9x {}^{2}  + 66x +1 21) + 5(2 {x}^{2}  + 8x + 5x + 20)  - 10 - 2( {x}^{2}  + 14x + 49) = 0 \\ 18 {x}^{2}  + 132x + 242 + 10 {x}^{2}  + 65x + 100 - 10 - 2 {x}^{2}  - 28x - 98 = 0 \\ 26 {x}^{2}  + 169x + 234 = 0 \\ 2 {x}^{2}  + 13x + 18 = 0 \\ a = 2 \\ b = 13 \\ c = 18 \\ D =  {b}^{2}  - 4ac =  {13}^{2}  - 4 \times 2 \times 18 =  \\  = 169 - 144 = 25 \\ x_{1} = \frac{ - 13 + 5}{2 \times 2}   =  -  \frac{8}{4}  =  - 2 \\ x_{2} =  \frac{ - 13 - 5}{2 \times 2}  =  -  \frac{18}{4}  =  - 4.5


sasha042008: Дуже дякую!!!!
sasha042008: Цьом)
Похожие вопросы
Предмет: Физика, автор: dymemamo
Предмет: Математика, автор: rustampavlenko436