Предмет: Алгебра,
автор: OzzyTM
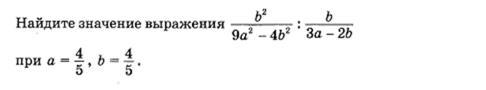
b2/9a^2-4b^2 : b/3a-2b
Приложения:
Ответы
Автор ответа:
1
......................................
Приложения:
farida5341:
5/1
Допоможіть мені будь ласка
Помогите мне пожалуйста https://znanija.com/task/52723180 https://znanija.com/task/52723216
Похожие вопросы
Предмет: География,
автор: agenb7100
Предмет: Українська література,
автор: d13819977
Предмет: Алгебра,
автор: abobasorok
Предмет: Українська література,
автор: nastapovoroznik
Предмет: Английский язык,
автор: vikamihajlova124