Предмет: Математика,
автор: Аноним
пжж в стопчик срочно
Приложения:
Ответы
Автор ответа:
1
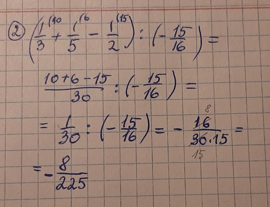
Ответ:
1) 8/225, 2)4
Пошаговое объяснение:
1)1/3+1/5=8/15
8/15-1/2=1/30
1/30÷(-15/16)=8/225
2)2 1/3×(-6/7)=2
2:1/2=4
Автор ответа:
1
Решение на прикреплённой фотографии
Приложения:
Похожие вопросы
Предмет: География,
автор: ulyana13082011
Предмет: Химия,
автор: sofijaspas
Предмет: Русский язык,
автор: amina2010ggg
Предмет: Английский язык,
автор: marinavicterievna777