Предмет: Математика,
автор: natkaaa1
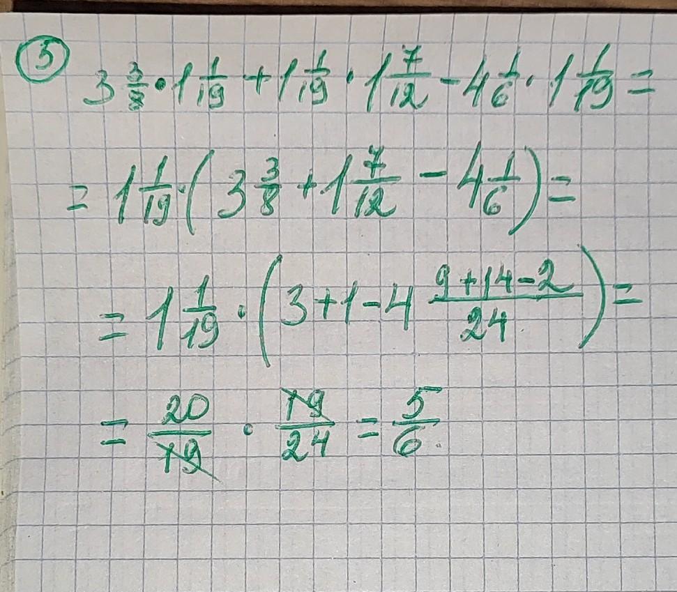
завдання 5, будь ласка. 20 б. дякую.
Приложения:
Ответы
Автор ответа:
2
Ответ:
...................
Пошаговое объяснение:
...............
Приложения:
Похожие вопросы
Предмет: Математика,
автор: zmeevetsalina1313
Предмет: Литература,
автор: rashidzaynalov10337
Предмет: Химия,
автор: vladyslavpoberezhnik
Предмет: Информатика,
автор: JJasont0
Предмет: Английский язык,
автор: monsuno083