Предмет: Алгебра, автор: anuarbekovadlet16

227 сделайте правильно ​

Приложения:

Ответы

Автор ответа: Alnadya
1

Решение.

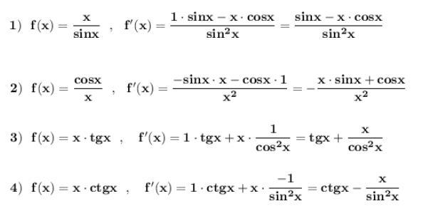
Находим производные функций , используя правила дифференцирования и таблицу производных .

\bf 1)\ \ f(x)=\dfrac{x}{sinx}\ \ ,\ \ f'(x)=\dfrac{1\cdot sinx-x\cdot cosx}{sin^2x}=\dfrac{sinx-x\cdot cosx}{sin^2x}       

\bf 2)\ \ f(x)=\dfrac{cosx}{x}\ \ ,\ \ f'(x)=\dfrac{-sinx\cdot x-cosx\cdot 1}{x^2}=-\dfrac{x\cdot sinx+cosx}{x^2}\\\\\\3)\ \ f(x)=x\cdot tgx\ \ ,\ \ \ f'(x)=1\cdot tgx+x\cdot \dfrac{1}{cos^2x}=tgx+\dfrac{x}{cos^2x}\\\\\\4)\ \ f(x)=x\cdot ctgx\ \ ,\ \ \ f'(x)=1\cdot ctgx+x\cdot \dfrac{-1}{sin^2x}=ctgx-\dfrac{x}{sin^2x}  

Приложения:
Похожие вопросы
Предмет: Математика, автор: koryakinay78