Предмет: Алгебра,
автор: ВикторияМр
ПОМОГИИИТЕЕЕЕ! Очень прошу вас помочьПОМОГИИИТЕЕЕЕ!Очень прошу вас помочь мне((
Докажите тождество :
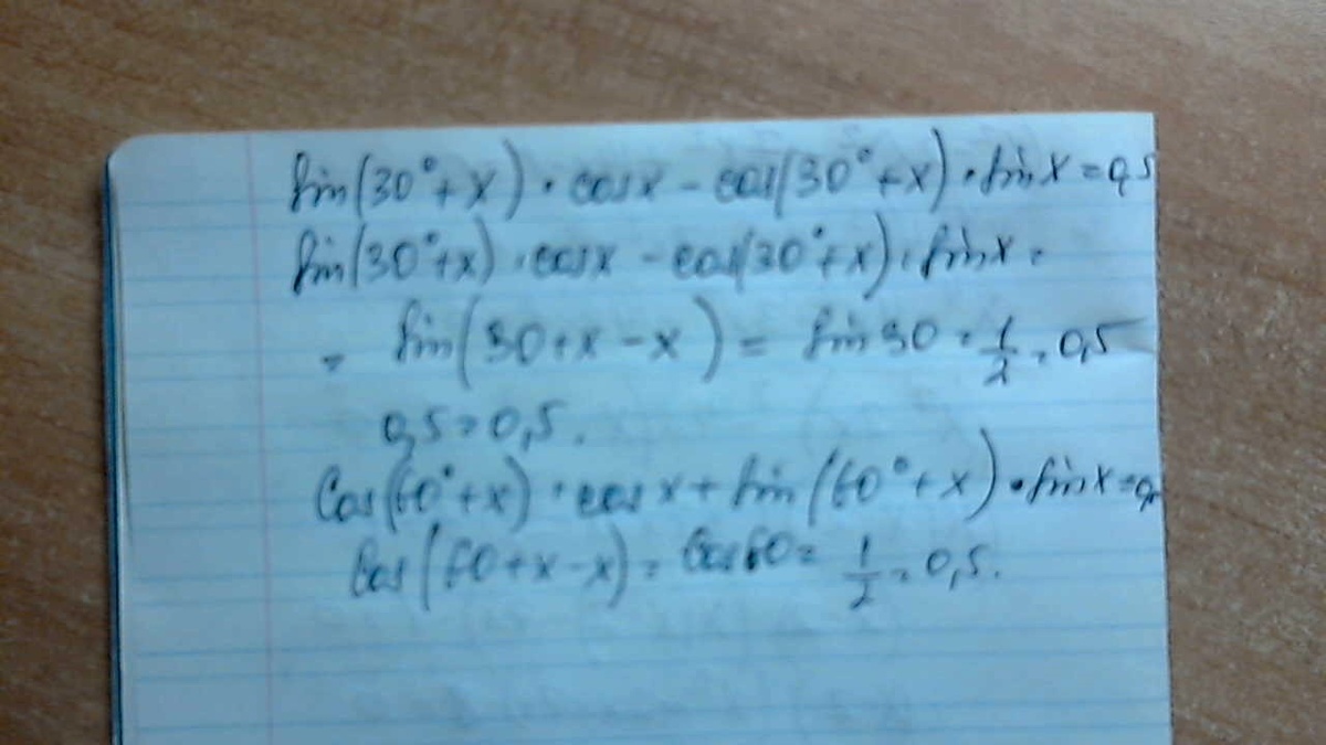
1)sin(30градусов+x)сosx-cos(30градусов+x)sinx=0,5
2)cos(60градусов+x)cosx+sin(60градусов+x)sinx=0,5
Ответы
Автор ответа:
0
Решениеееееееееееееееееее
Приложения:
Похожие вопросы
Предмет: Геометрия,
автор: prostoplant
Предмет: Физика,
автор: farid2270
Предмет: Математика,
автор: Askarbekovaasema
Предмет: Геометрия,
автор: necessary1
Предмет: Биология,
автор: ИИА