Предмет: Алгебра,
автор: Аноним
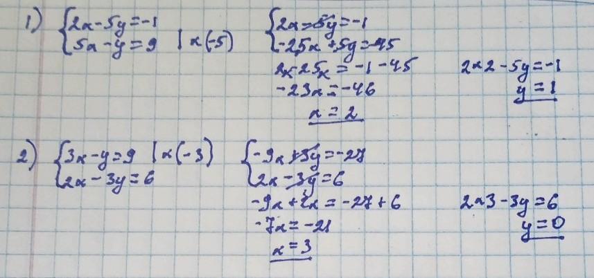
помогите пожалуйста, именно способом додавання
Приложения:
Ответы
Автор ответа:
1
Ответ:
1. (2;1) 2. (3;0)
Объяснение:
На фото, надіюсь що допомогла
Приложения:
Похожие вопросы
Предмет: История,
автор: ceriopa5678
Предмет: Физика,
автор: yuliia777ks
Предмет: Английский язык,
автор: gasickanasta
Предмет: География,
автор: difedulovap2ga7v
Предмет: История,
автор: mishuraangelina75