Предмет: Алгебра,
автор: btaukihanov
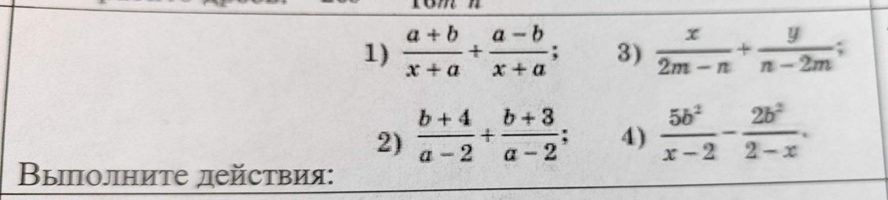
помогите срочно нужно даю 40балов
Приложения:
Ответы
Автор ответа:
0
Объяснение:
если менять числа то знак тоже меняется
Приложения:
Похожие вопросы
Предмет: Английский язык,
автор: ArgintaevaDarina
Предмет: Математика,
автор: Аноним
Предмет: География,
автор: zorenkoivan4
Предмет: География,
автор: vetrovaulia09
Предмет: Математика,
автор: kirillshe2012