Предмет: Математика,
автор: kristin36
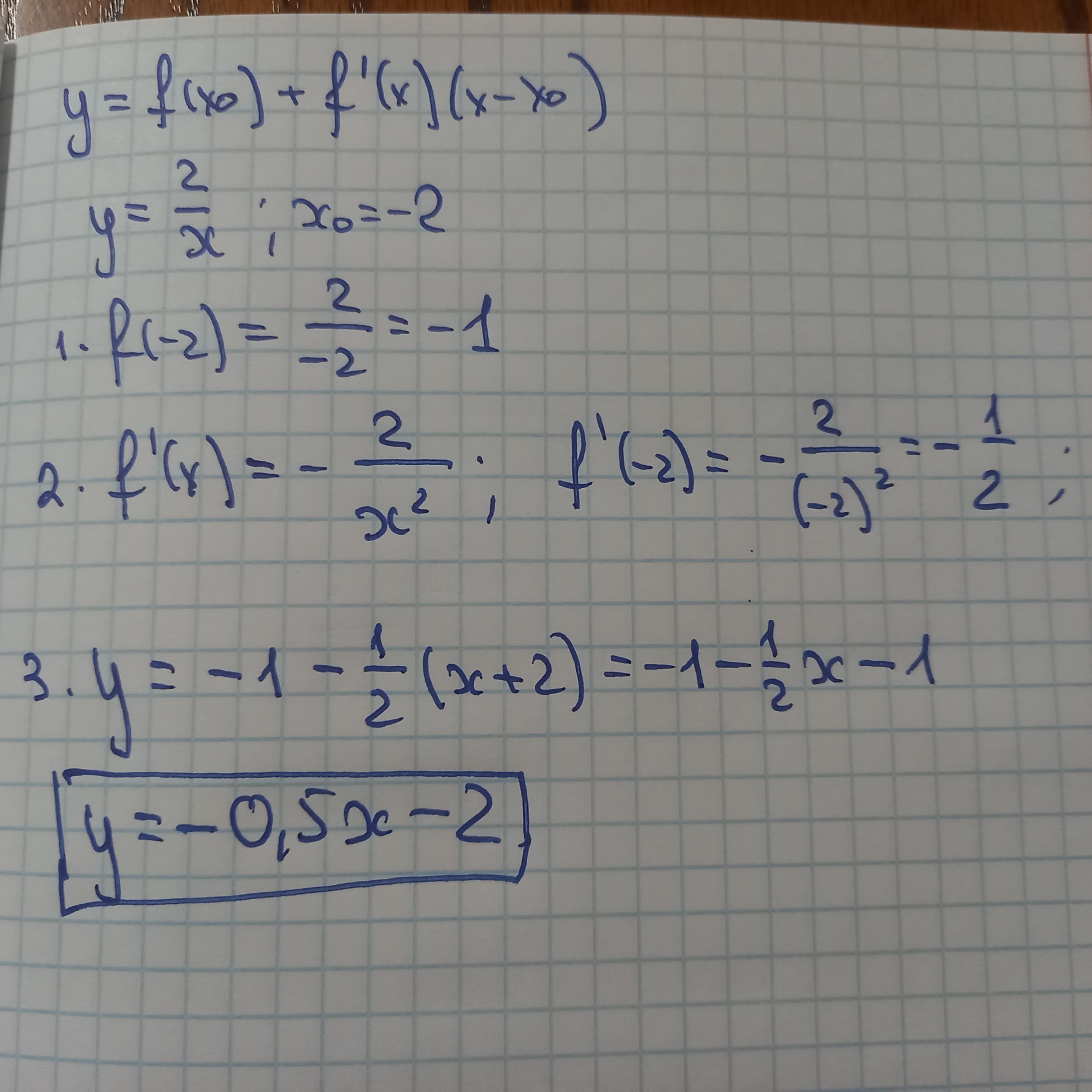
Написати рівняння дотичної до графіка функції y=2/xу точці з абсцисою х0 = -2.
Ответы
Автор ответа:
2
Відповідь: у=-0,5х-2.
Покрокове пояснення:
розв'язання завдання додаю
Приложения:
Похожие вопросы
Предмет: История,
автор: inkaraslankyzy2011
Предмет: Физика,
автор: habikboom
Предмет: Литература,
автор: zalevskijvolodimir85
Предмет: Математика,
автор: svetakoroleva0707
Предмет: Биология,
автор: bogdancupra