Предмет: Алгебра,
автор: lozhkinua20
СРОЧНО!!!! ДАЮ 40 баллов!
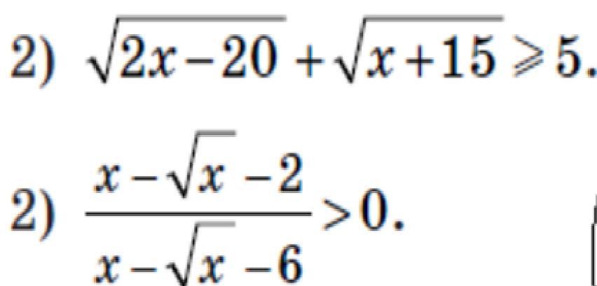
Решите неравенства на фото
Приложения:
lozhkinua20:
Желательно полное решение.
Ответы
Автор ответа:
1
ответы на изображение
поставь пожалуйста лучший ответ (ヽ´ω`)
Приложения:
Похожие вопросы
Предмет: Геометрия,
автор: kirillzver007
Предмет: История,
автор: foxl1yso2
Предмет: Математика,
автор: w2rm5c9s66
Предмет: Қазақ тiлi,
автор: gulnazsaukan
Предмет: История,
автор: tanrverdievseimur200