Предмет: Алгебра, автор: mikosy1992054

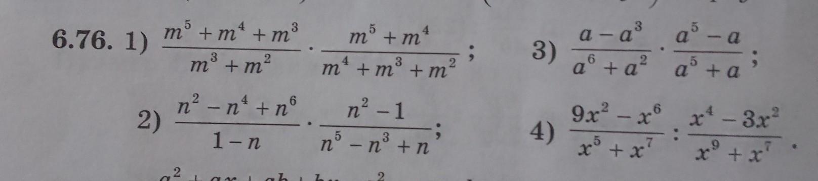
6.76.1) 2) m² + m² + m² m² + m² n² 2 n² + n° 1-n m² + m² m² + m² + m² n²-1 n² -n²+n ; 3) 4) a-a² a²-a a² + a² a²+a 9x² x²+x² K # ; x² + x¹​

Приложения:

Ответы

Автор ответа: prohorovaan08
1

Ответ:

В первом получится m³

Во втором будет

 \frac{ - a { }^{6} + a {}^{4}  + a {?}^{2} - 1  }{a {}^{9}  + 2a {}^{5} + a }


mikosy1992054: мне нужно все
mikosy1992054: а не ответ
mikosy1992054: пж
gajdukovpavel06: Почему только 1 пример?
keka41268: ааааа́ где всё
gajdukovpavel06: Мне сказали не правильный
gajdukovpavel06: На уроке
Похожие вопросы
Предмет: Математика, автор: cici1985memmedova