Предмет: Математика,
автор: osadchyi29
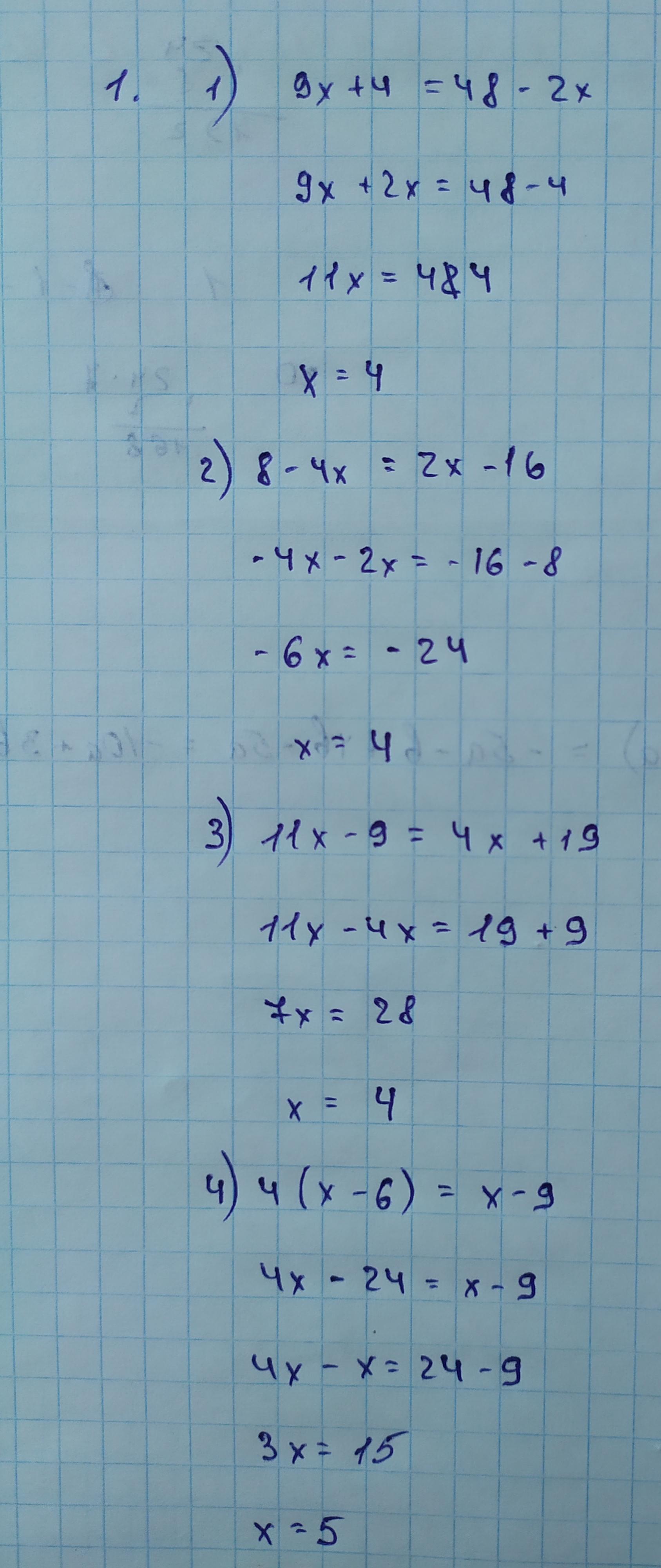
Розвяжіть хоч щось будь ласка дам 40 баллів
Приложения:
Ответы
Автор ответа:
0
Ответ:
Пошаговое объяснение: на фотографии
Приложения:
osadchyi29:
дякую
Похожие вопросы
Предмет: Українська мова,
автор: andrusikdiana2
Предмет: Алгебра,
автор: vasylua6
Предмет: География,
автор: GomolliFtg
Предмет: Алгебра,
автор: t1xosha