Предмет: Математика,
автор: dhdjjk
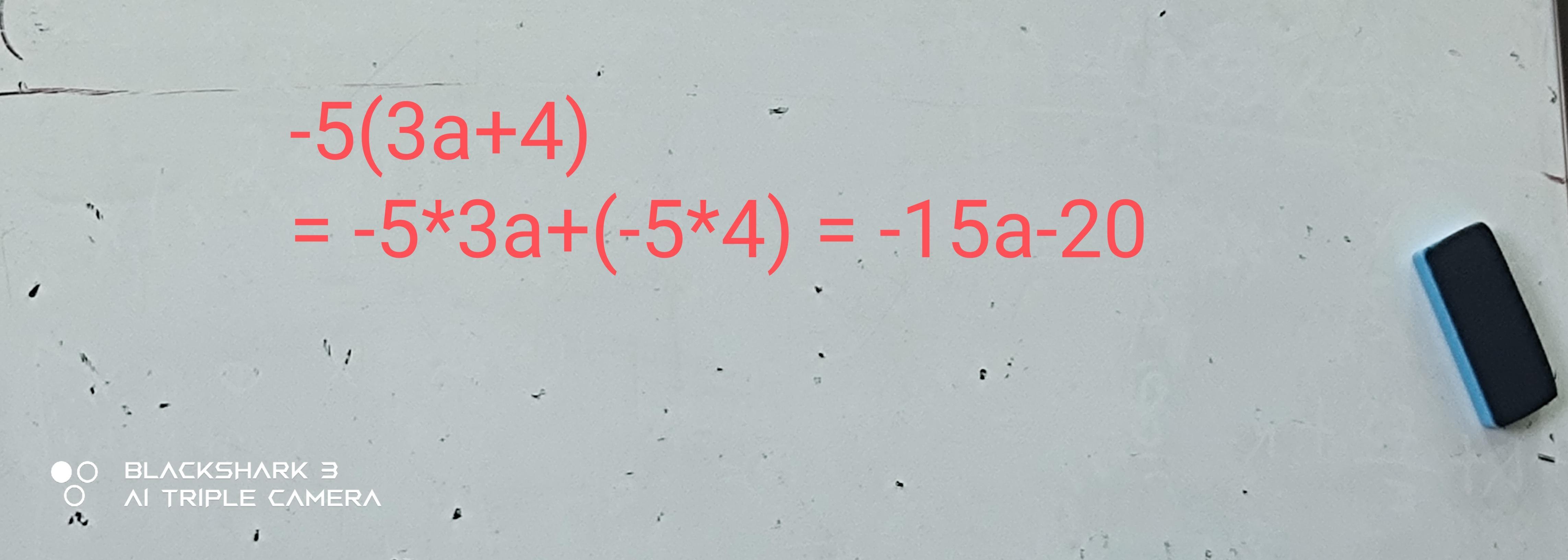
- 5(3a + 4) поможеть
Ответы
Автор ответа:
0
Ответ:
-15a-15a-20-15a-15a-2-15a-20-14-15a-20
Пошаговое объяснение:
Приложения:
Похожие вопросы
Предмет: МХК,
автор: Аноним
Предмет: Английский язык,
автор: sdrnktamila
Предмет: Қазақ тiлi,
автор: saulem1212
Предмет: Геометрия,
автор: alonasohac
Предмет: Алгебра,
автор: valeri2006tem