Предмет: Химия,
автор: kharchenkooleksandra
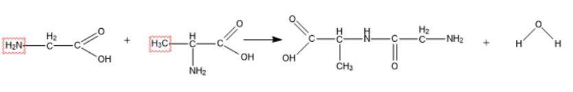
Напишіть рівняння одержання дипептиду з гліцину й аланіну
Ответы
Автор ответа:
2
Ответ:
Утворюється дипептид гліцилаланін (H2N – CH2 – CONH – CH(CH3) – COOH)
Объяснение:
Приложения:
Похожие вопросы
Предмет: Обществознание,
автор: Justvica
Предмет: Химия,
автор: NastyaPlay5
Предмет: Қазақ тiлi,
автор: zanselarynova
Предмет: Русский язык,
автор: tallerkoda18082006
Предмет: Русский язык,
автор: aicholponormonkanova