Предмет: Математика,
автор: Farida2005
Решите уравнения. ПОЖАЛУЙСТА! ЗАРАНИЕ СПАСИБО!
Приложения:
Ответы
Автор ответа:
0
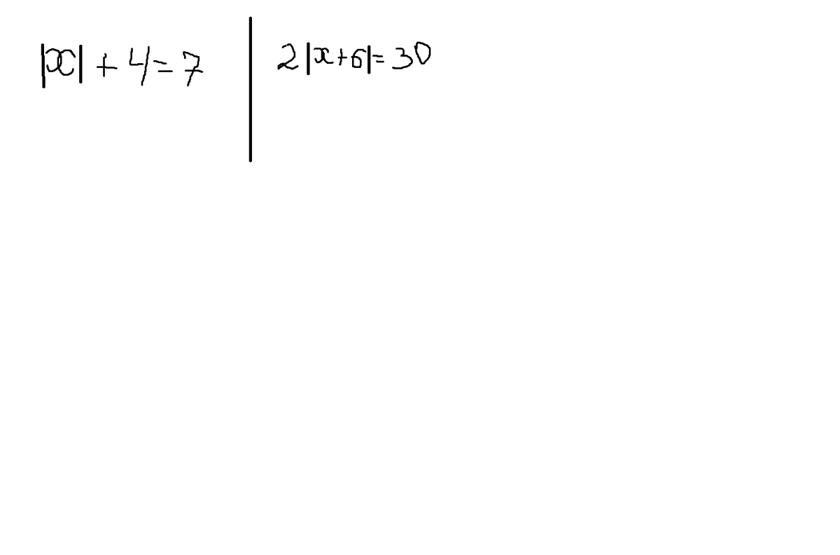
1) !х!+4=7
!х!=7-4
!х!=3 х1=-3 х2=3
2) 2!х+6!=30
!х+6!=15
х1=-21 х2=9
!х!=7-4
!х!=3 х1=-3 х2=3
2) 2!х+6!=30
!х+6!=15
х1=-21 х2=9
Автор ответа:
0
Спасибо
Автор ответа:
0
Спасибки
Автор ответа:
0
незачто
Автор ответа:
0
7-4=3 первое уравнение
х +6=230:2=105
105-6=99 второе уравнение
х +6=230:2=105
105-6=99 второе уравнение
Автор ответа:
0
извените конечно но то чтовы написали полный бред
Автор ответа:
0
етоже простой модуль
Похожие вопросы
Предмет: Обществознание,
автор: Cqsh
Предмет: Алгебра,
автор: marina733071
Предмет: Химия,
автор: maksyutov758
Предмет: Геометрия,
автор: Kazuha