Предмет: Математика, автор: farissuleev

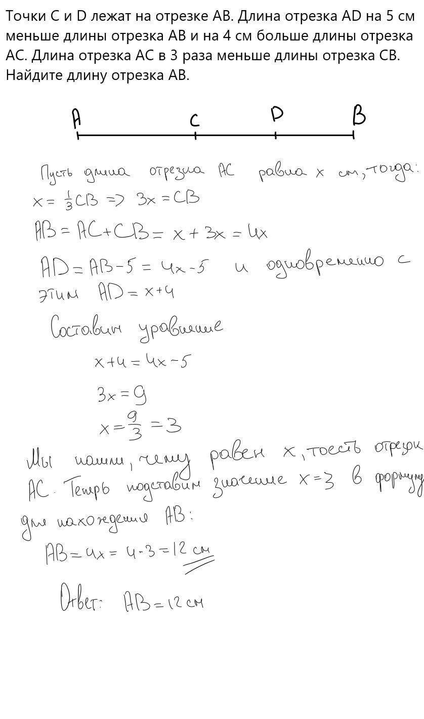
7. Точки С и D лежат на отрезке АB. Длина отрезка AD на 5 см меньше длины отрезка AB и на 4 см больше длины отрезка АС. Длина отрезка АС в 3 раза меньше длины отрезка СВ. Найдите длину отрезка AB. дам 50 баллов помогите​


BeraSmoothy: Тебе решить с точки зрения алгебры или геометрии?!
farissuleev: нет я 5 классик я ещё корень уравнения не прошол
BeraSmoothy: понятно. Тебе на каком языке: русский, украинский?)
farissuleev: русский
BeraSmoothy: ОК

Ответы

Автор ответа: mars5ixel
1

Відповідь:

12 см.

Покрокове пояснення:

Нехай довжина AC=X см. Тоді AD=(X+4) см, CB=3X см, а AB=(X+4+5) см. Якщо додати відрізки AC і CB, то отримаємо AB:

X+3X=X+4+5

X+3X-X=9

3X=9

X=9÷3

X=3 см—довжина відрізка AC.

Тоді відрізок AB=3 см+4 см+5 см=12 см.

Автор ответа: BeraSmoothy
0

Если что-то будет не понятно, то не стесняйся - спрашивай!

Пока желаю тебе удачки и хорошего настроения ;)

Приложения:
Похожие вопросы
Предмет: Алгебра, автор: maudaur067
Предмет: Английский язык, автор: gganbilguun5
1. He went on foot, but he a.can have gone 2. Their kitchen is large and it a.must be 3. The boss wants Mr. Black a. be come 4. Man 5. I wish it 8. 9. 10. You 12. He a. will a. is going to 6. If the driver had been careful, the accident a. could have been avoided b. could have avoided 7. Whoever breaks the law must punish b. is to be punished c. is to punish c. Ought d. Have I go to him and apologize for my own mistake? a.Should b. Need This watch looks like mine, yet it isn't. Whose a.must b. can c. would play with the match, you a. won't / can b. mustn't/may 11. I tried to persuade him not to smoke, but he a.wouldn't b. couldn't c. had better not harder ehen he was young. b. must study a. had better study 13. He was taken away by the police. He a.must do b. can have done 14. Most of the students failed the English exam. It a. can't b. shouldn't be 15. Your answer a. must 16. Hi, Sorry. You 19. used as a dining room. b. was seen c. can be to come to his office. He must b. come C. came die without water and air. b. shall c. should be fine tomorrow. b. will d. would by bus. b. could have gone c. ought have gone Yes, please. a. need have take b. can't I speak to John? C. can a. Shall b. Could 20. Don't throw away the bottle. It A might be needed b. may need d. have to be d. comes d. would it be? d. will c. can't have been be correct, but I am not sure. c. may d. should c. Must start a fire. c. shouldn't/ must listen to me. d. used to c. should have studied c. must have done c. is needed c. coild be avoided d. can be punished immediately. something against law. have the wrong number. There is no one here by that name. b. can / can c. must / may d. should / must 17. I didn't see her at the lecture yesterday. She a. mustn't attend a. may / must it. b. can't have attended 18. She the exam again since she had already passed it. b. didn't need to take I open the window? d. could be gon d. can't/ shouldn't d. Ought in the future. d. should study easy. d. couldn't have been should have done c. would have attended d. would c. needn't take d. shall be needed d. needn't hav d. mustn't ta​
Предмет: Химия, автор: omursadykovtemirlan
Предмет: Биология, автор: chelovek2k20