Предмет: Математика,
автор: ikeadoge72
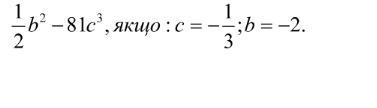
Рішіть дробове рівняння
Приложения:
Ответы
Автор ответа:
0
Ответ:
Если что-то непонятно, напиши в комментах :)
Пошаговое объяснение:
Можно лучший ответ, если не трудно, пожалуйста?)
Приложения:
Похожие вопросы
Предмет: Русский язык,
автор: dar2013darina
Предмет: Литература,
автор: adiya298112
Предмет: Литература,
автор: dzumantilek
Предмет: История,
автор: Hare2007
Предмет: Алгебра,
автор: MILA4243