Предмет: Алгебра,
автор: novitskadarunka
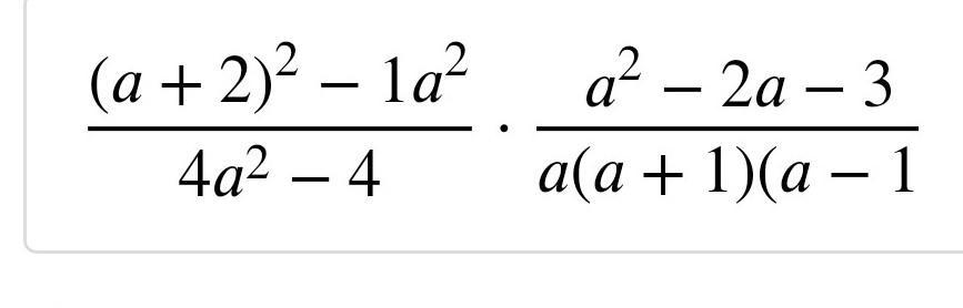
допоможіть пжж
даю 50 балів
Приложения:
Ответы
Автор ответа:
2
Решение на прикреплённой фотографии
Приложения:
Похожие вопросы
Предмет: Физика,
автор: lapadara922
Предмет: История,
автор: kirapyatak1307
Предмет: Українська мова,
автор: kaplunchristina28
Предмет: Математика,
автор: danikglaznev6
Предмет: Алгебра,
автор: omarnasrudinov770