Предмет: Математика,
автор: Аноним
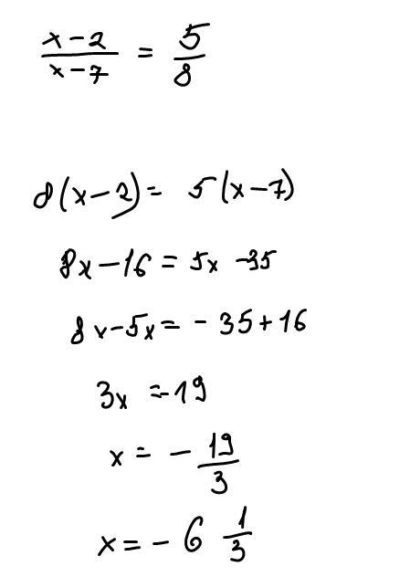
Помогите СРОЧНО КАК РЕШИТЬ РІВНЯННЯ
Приложения:
Ответы
Автор ответа:
0
Ответ:
Пошаговое объяснение:
Приложения:
Похожие вопросы
Предмет: Английский язык,
автор: bazarbaynazerke
Предмет: История,
автор: ifbjgcbjtvbufbjgvbuf
Предмет: География,
автор: nysia2695
Предмет: Литература,
автор: lerkasolomonova
Предмет: Математика,
автор: dmalyh