Предмет: Математика,
автор: karina64374875
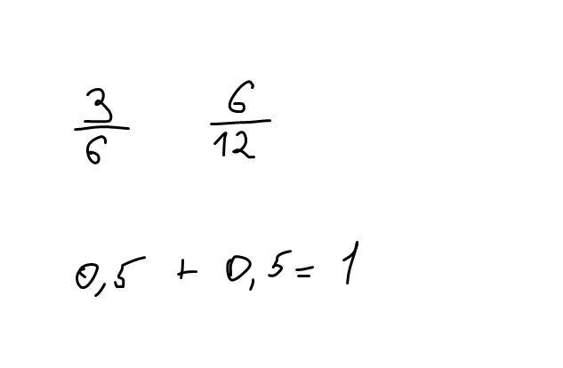
запишіть звичайні дроби у вигляді десяткових та знайдвть їх суму 3/6 та 6/12
Ответы
Автор ответа:
0
Ответ:
Пошаговое объяснение:
Приложения:
Похожие вопросы
Предмет: Английский язык,
автор: lizasorokvashina
Предмет: Алгебра,
автор: kolosa931
Предмет: Английский язык,
автор: novnejm70
Предмет: Алгебра,
автор: dianagolinko791
Предмет: Математика,
автор: DikayaKosandra