Предмет: Алгебра, автор: tk3994383

помогите пожалуйста задание в файле

Приложения:

Ответы

Автор ответа: liftec74
0

Ответ:  Б 2^6^4

Объяснение:

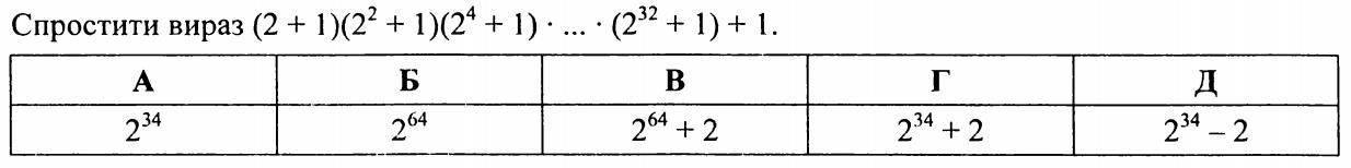
(2+1)(2^2+1)(2^4+1)(2^8+1)*...(2^3^2+1)+1\\(2+1)(2^2+1) = (1+2+2^2+2^3)\\(1+2+2^2+2^3)(1+2^4)=(1+2+2^2+2^3+2^4+2^5+2^6+2^7) \\(2+1)(2^2+1)(2^4+1)(2^8+1)*...(2^3^2+1)+1= (1+2+2^2+2^3+2^4+...+2^6^3 )+1\\

Выражение в скобках равно 2^64-1

Тогда все выражение равно 2^6^4

Похожие вопросы
Предмет: Алгебра, автор: jjjjo5