Предмет: Геометрия,
автор: msabi
ПРОШУ ВАС ПОМОГИТЕ
СДАТЬ СЕГОДНЯ
СРОЧНО, ПРОШУ
Приложения:
Ответы
Автор ответа:
1
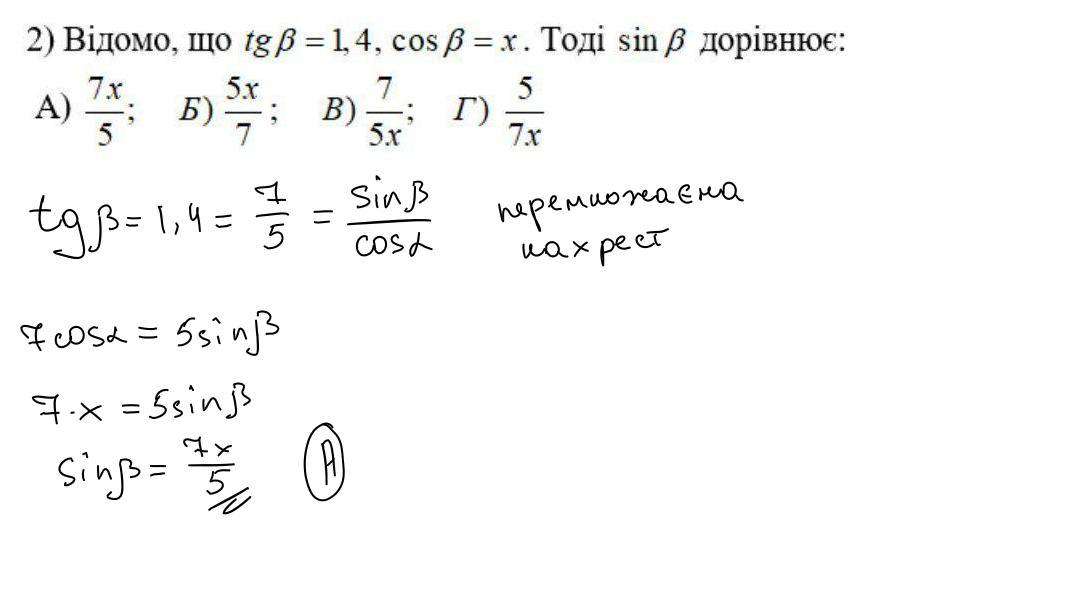
Схоже, що це якась контрольна чи самостійна ;)
Але сподіваюсь тут все зрозуміло тобі
Якщо виникнуть питання - задавай !)
Приложения:
msabi:
да правильно ты понял, буду очень благодарна, если поможешь с другими, мне очень нужна помощь!!
Звичайно, без проблем)
Похожие вопросы
Предмет: Қазақ тiлi,
автор: madiarhamidulla5
Предмет: Литература,
автор: ddaa230609
Предмет: Литература,
автор: juliakovalenko6565
Предмет: Музыка,
автор: razuvaevaalena79
Предмет: Українська мова,
автор: lizadidenko1