Предмет: Математика,
автор: anndoskoch
Помогите пожалуйста даю двадцать балв
Приложения:
Ответы
Автор ответа:
2
Ответ:
- 5
Пошаговое объяснение:
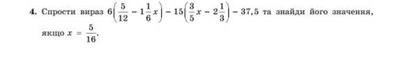
4. 6(5/12-1¹/₆х)-15(3/5х-2¹/₃)-37,5;
6*5/12+15*(6+1)/3-х*[(6+1)/6*6+15*3/5]-37,5=0-х(7+9)= - 16*х; -16*5/16=-5
Похожие вопросы
Предмет: Математика,
автор: Ertweg13
Предмет: Українська мова,
автор: drozdovaelizaveta07
Предмет: Физика,
автор: kirill889948
Предмет: Алгебра,
автор: rbhbrbhbkk
Предмет: Русский язык,
автор: Legenda098