Предмет: Алгебра,
автор: understanderxwz
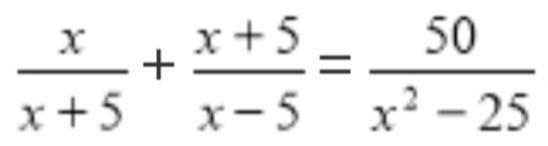
ДОПОМОЖІТЬ БУДЬ ЛАСКА!!!!!!
Приложения:
Ответы
Автор ответа:
0
Ответ:
я не знаю правильно не правильно (мы такое ищо не проходили)
Приложения:
Похожие вопросы
Предмет: Литература,
автор: h9nnni
Предмет: Химия,
автор: alexkorotych9
Предмет: Химия,
автор: s0686818640
Предмет: Математика,
автор: 28092010danya
Предмет: Русский язык,
автор: ayelnura