Предмет: Математика,
автор: somoki8262
aaaaaaaaaaaaaaaaaaaaaaaaaasssssssssssssssssss
Приложения:
Ответы
Автор ответа:
0
Пошаговое объяснение:
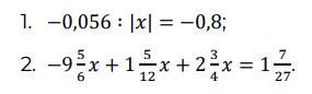
-0,056 : |х| = -0,8
|х| = -0,056 : (-0,8)
|х| = 0,07
х1 = -0,07
х2 = 0,07
-9 5/6х + 1 5/12х + 2 3/4х = 1 7/27
-9 10/12х + 1 5/12х + 2 9/12х = 1 7/27
-8 5/12х + 2 9/12х = 1 7/27
-7 17/12х + 2 9/12х = 1 7/27
-5 8/12х = 1 7/27
-5 2/3х = 1 7/27
-17/3х = 34/27
х = 34/27 : (-17/3)
х = 34/27 * (-3/17)
х = 2/9 * (-1/1)
х = -2/9
Похожие вопросы
Предмет: Химия,
автор: Katja5689
Предмет: Информатика,
автор: kunsulusaripova7
Предмет: Литература,
автор: nikitalepeshkin222
Предмет: История,
автор: Аноним
Предмет: Математика,
автор: romashkevich2008