Предмет: Алгебра,
автор: grigoryberegovoy
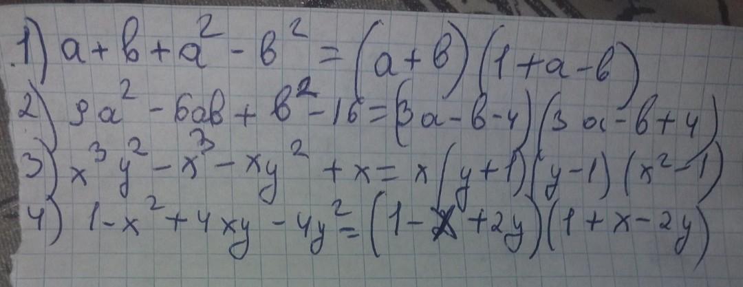
розкласти на множники:1)a+b+a2-b2;. 2)9a2-6ab+b2-16;. 3)x3y2-x3-xy2+x;. 4)1-x2+4xy-4y2
Ответы
Автор ответа:
1
Объяснение:
................,..............
Приложения:
Автор ответа:
2
Ответ:
Правильно
Объяснение:
Приложения:
Похожие вопросы
Предмет: Алгебра,
автор: danilgoo869
Предмет: Геометрия,
автор: mbuivolm
Предмет: Математика,
автор: Felix064
Предмет: Алгебра,
автор: kokhanovsskiy07