Предмет: Алгебра, автор: kamik00917

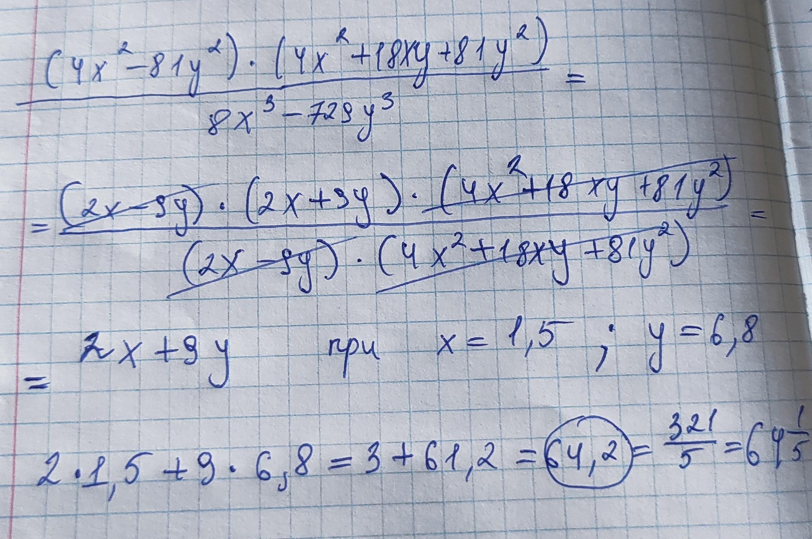
Вычислить
(4x²-81y²) ·(4x²+18xy+81y²)/
8x3-729y3
при х = 1,5 ; y = 6,8

Ответы

Автор ответа: MrProfessor
1

Пример должен быть так написан?верно?

Приложения:
Похожие вопросы
Предмет: Английский язык, автор: Аноним
Домашнее задание (базовый уровень)
Срок выполнения ДЗ: 17 октября 23:59 (МСК).
Задание предполагает проверку учителем. Итоговая оценка будет выставлена в журнал
Задания для проверки учителем
Используя материалы видеоурока, конспекта и консультации, выполните представленные задания.

Task 1.

Как выполнять творческие задания

A. Find 8 nouns on the topic “At home: furniture” (8 points).

1.png
Рис. 1

B. Make up 6 sentences with any words from A (18 points).

________________________________________________________________
________________________________________________________________
________________________________________________________________
________________________________________________________________
________________________________________________________________
________________________________________________________________


Task 2 (16 points).

Fill in the missing letters in the following words.

so_a
free_er
ke_tle
blan_et
mir_or
furnit_re
bo_kcase
toil_t
pict_re
l_ght bulb
pil_ow
bedclo_hes
al_rm clock
floo_
de_k
was_basin


Task 3 (18 points).

Как выполнять задания на заполнение пропусков (грамматика)

Fill in the gaps using in/at/on.

Where did you read that article? — ______ the newspaper.
Silvia often meets her friends ______ the bus stop.
Is Emily ______ a good mood?
My mother is ______ work now.
I usually go to school ______ foot.
Steve is sitting ______ the table.
Kelly lives ______ the second floor.
Wolves live ______ the forest.
Can you see my city ______ the map?


Task 4 (20 points).

Как правильно выполнять задания на поиск соответствия (Match)

Match the words to form the compound nouns.

1) play

a) board

2) straw

b) chair

3) black

c) room

4) washing

d) officer

5) bus

e) ball

6) arm

f) machine

7) police

g) stop

8) basket

h) berry

9) hot

i) pool

10) swimming

j) dog



1

2

3

4

5

6

7

8

9

10























Task 5 (20 points).

Как выполнять задания на заполнение пропусков (лексика)

Complete the sentences using the words from Task 4.

A _____________________ is a cooked sausage eaten in a long soft piece of bread with ketchup.
A _____________________ is a member of the police force.
A _____________________ is a machine for washing things.
A _____________________ is a room for children to play in.
A teacher writes on the _____________________.
An _____________________ is a comfortable chair with sides that support your arms.
_____________________ is a game played by two teams of five players.
I often swim in the _____________________.
Liza was waiting at the _____________________.
Do you like _____________________ jam?
Предмет: Математика, автор: sahatarasova60
Предмет: Математика, автор: ramazankyzydianna