Предмет: Алгебра,
автор: Kotponhik
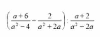
1. ((a + 6)/(a ^ 2 - 4) - 2/(a ^ 2 + 2a)) / ((a + 2)/(a ^ 2 - 2a))
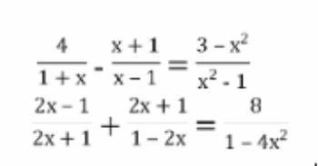
2. 4/(1 + x) - (x + 1)/(x - 1) = (3 - x ^ 2)/(x ^ 2 - 1)
3. (2x - 1)/(2x + 1) + (2x + 1)/(1 - 2x) = 8/(1 - 4x ^ 2)
Срочноооооо !!! 35 баллов !
Приложения:
tatsach:
Сделайте фото задания
Ответы
Автор ответа:
0
Відповідь:
(a + 4) / (a - 2)
x = -1, x = 2
x = -1/2, x = 1/2
Пояснення:
Похожие вопросы
Предмет: Другие предметы,
автор: Mariamamamia
Предмет: Русский язык,
автор: Аноним
Предмет: География,
автор: liliahlodan1991
Предмет: Математика,
автор: asanalisansyzbay
Предмет: Алгебра,
автор: alinasinitsina27