Предмет: Алгебра,
автор: broshkovaleria
желательно с подробным решением))
Приложения:
Ответы
Автор ответа:
1
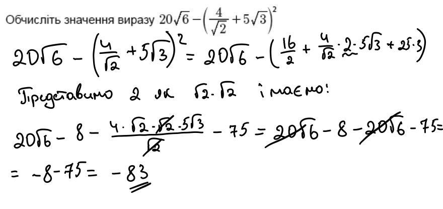
Сподіваюсь допоміг розібратися з завданням ;)
Бажаю тобі гарного дня!
Приложения:
broshkovaleria:
еще раз спасибо большое)))
Ахахах) Радий що допоміг
Похожие вопросы
Предмет: Английский язык,
автор: Аноним
Предмет: История,
автор: i52148723
Предмет: Химия,
автор: maksimcobanuk6
Предмет: Геометрия,
автор: airik75
Предмет: Алгебра,
автор: kelke8