Предмет: Математика,
автор: nikoletta333alex
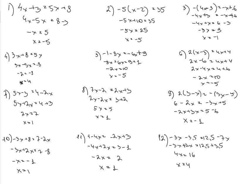
Потрібен розв'язок , відповіді до рівнянь зверху на фото
Приложения:
Ответы
Автор ответа:
1
Відповідь:
ось
Пояснення:
Приложения:
nikoletta333alex:
дуже дякую
Похожие вопросы
Предмет: История,
автор: liklik45
Предмет: Геометрия,
автор: javoxir22
Предмет: История,
автор: manhvaanime4
Предмет: Русский язык,
автор: dadadaya121
Предмет: География,
автор: ruslanolga2