Предмет: Алгебра,
автор: verxxq
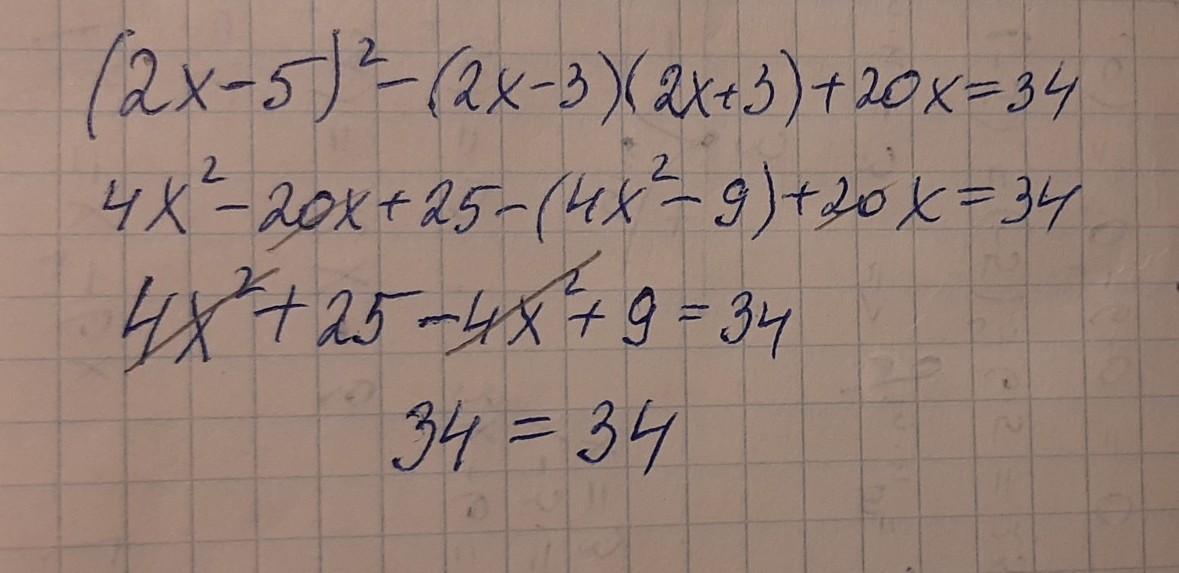
Доведіть тотожність (2х-5)^2-(2х-3)(2х+3)+20х=34
Ответы
Автор ответа:
1
Решение на прикреплённой фотографии
Приложения:
Похожие вопросы
Предмет: Алгебра,
автор: Tinner
Предмет: Математика,
автор: fixvelx
Предмет: География,
автор: sofi19311
Предмет: Английский язык,
автор: anyzh
Предмет: Математика,
автор: feymason