Предмет: Алгебра,
автор: OleksandrTunkovan
Пж роботу до сегодня
Приложения:
Ответы
Автор ответа:
0
Ответ:
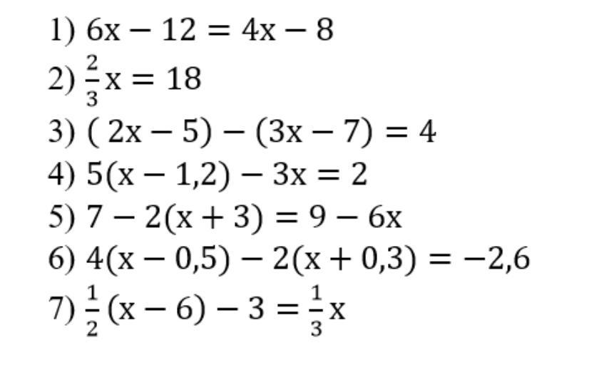
1) х=2 2) х=27 3) х=-2 4) х=4 5) х=2 6) х=2,6 7) х=36
Объяснение:
Все на фото
Приложения:
OleksandrTunkovan:
Спс есле неправильно, то будет неоч хорошо:-)
Не подругому
Похожие вопросы
Предмет: Другие предметы,
автор: fdfdtftfyfyfyyv
Предмет: Английский язык,
автор: nurbolshailobekov20
Предмет: Математика,
автор: llejisw
Предмет: Обществознание,
автор: cashapriluczkij