Предмет: Математика,
автор: s9028214
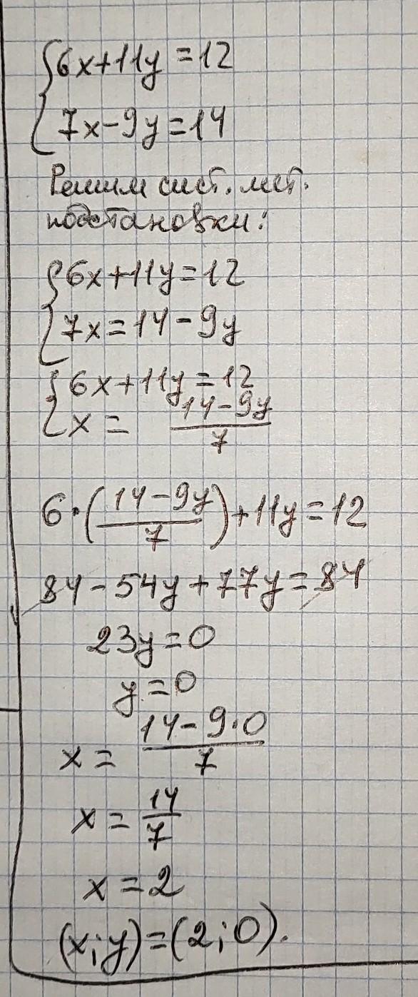
Решите систему линейных уравнений методом подстановки:
{6х+11у=12
{7х-9у=14
Ответы
Автор ответа:
1
Ответ:
Надеюсь все понятно на фото
Приложения:
Автор ответа:
1
Ответ:
вот решение
Пошаговое объяснение:
на листочке
Приложения:
Похожие вопросы
Предмет: Математика,
автор: Annnan
Предмет: Биология,
автор: elgri202209
Предмет: Геометрия,
автор: viktoriaaa22424
Предмет: Алгебра,
автор: azacover
Предмет: Химия,
автор: svetapavlicenko6