Предмет: Алгебра,
автор: kuznetsovaarin
Помогите решить, не пойму! Только плиз напишите решение)))
Приложения:
Ответы
Автор ответа:
0
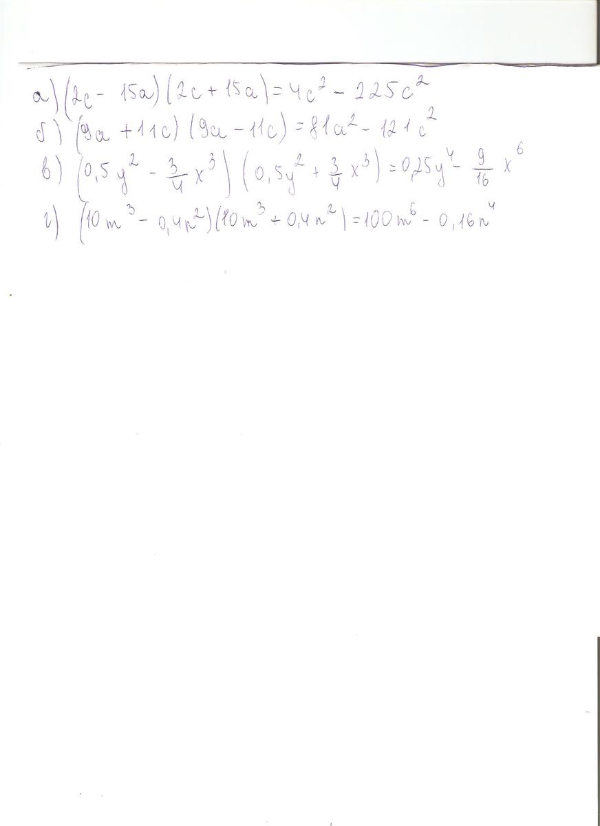
а) (2с-15а)(2с+15а) = 4с²-225а²
б) (9а+11с)(9а-11с)=81а²-121с²
в) (0,5у²-
}{4} [/tex] ) (0,5у²+
}{4} [/tex] ) = 0.25у⁴-
г) (10m³-0,4n²)(10m³+0,4n²)= 100m⁶-0,16n⁴
_________________________
Держи ;)
б) (9а+11с)(9а-11с)=81а²-121с²
в) (0,5у²-
г) (10m³-0,4n²)(10m³+0,4n²)= 100m⁶-0,16n⁴
_________________________
Держи ;)
Автор ответа:
0
............................................................................
Приложения:
Похожие вопросы
Предмет: Биология,
автор: abnstudioronanabn
Предмет: Химия,
автор: svajtik
Предмет: Русский язык,
автор: anel05112010
Предмет: Химия,
автор: Tapасик
Предмет: Химия,
автор: Terenteva1997