Предмет: Алгебра,
автор: NEMOFKA
помогите пожалуйтса иначе меня отчим убет
Приложения:
Ответы
Автор ответа:
2
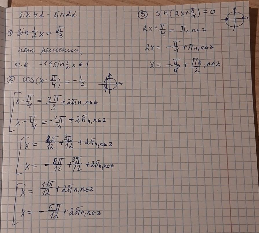
Решение тригонометрических уравнений на фото
Приложения:
Похожие вопросы
Предмет: Химия,
автор: dominika0001
Предмет: Математика,
автор: katyayakovleva221
Предмет: Биология,
автор: 4vqngtfpxf
Предмет: Английский язык,
автор: antoha691337
Предмет: Музыка,
автор: morevcook21vc