Предмет: Алгебра, автор: grxndsss

Внести число під знак кореня
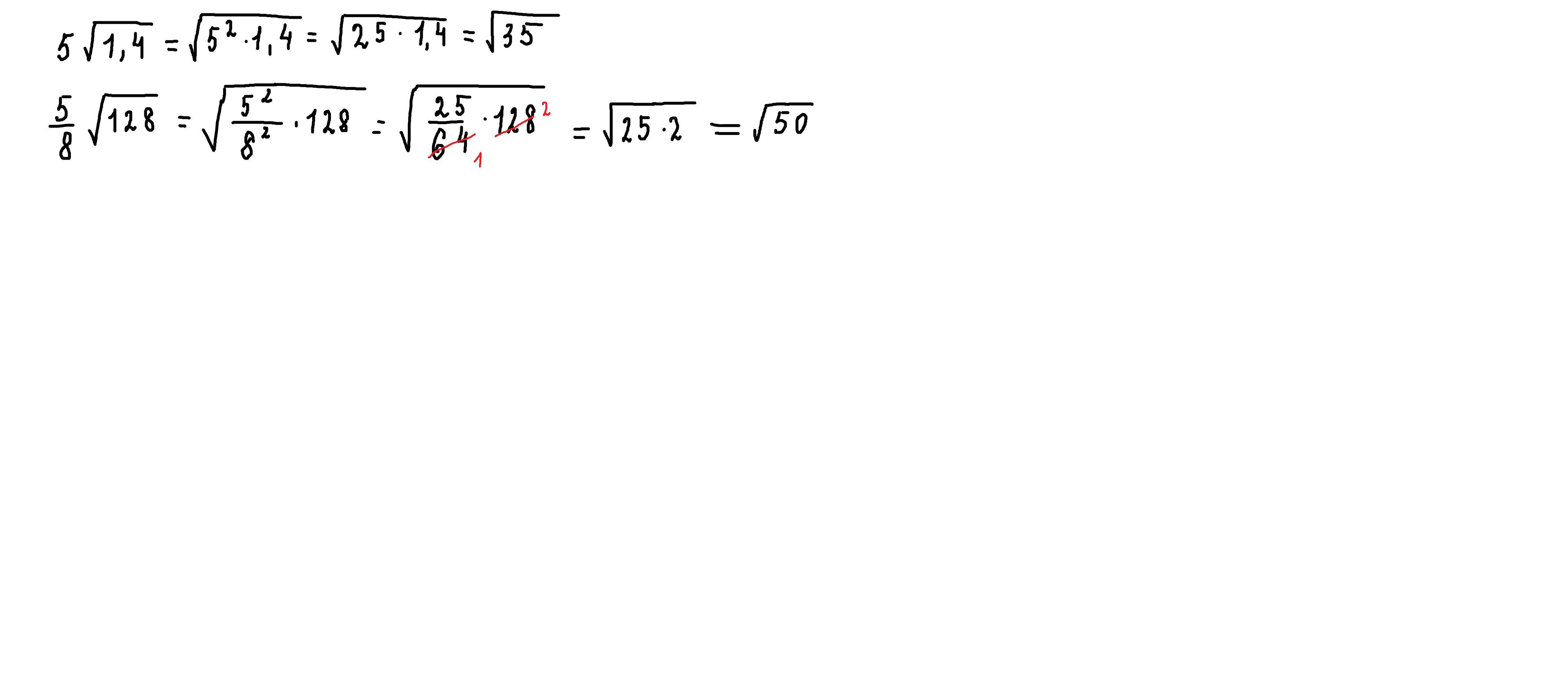
1) 5√1,4
2) 5/8√128
СРОЧНО​

Ответы

Автор ответа: Аноним
2

1) \: 5 \sqrt{1.4}  =  \sqrt{1.4 \times  {5}^{2} }  =  \sqrt{1.4 \times 25}  =  \sqrt{35}

2) \:  \frac{5}{8}  \sqrt{128}  =  \sqrt{128 \times ( \frac{5}{8}) {}^{2}  }  =   \sqrt{128 \times  \frac{25}{64} }   =  \sqrt{2 \times 25}  =  \sqrt{50}


grxndsss: Спасибо
Аноним: ок
Автор ответа: parus77
2

Ответ:

Объяснение:

решение внизу,для этого надо возвести в квадрат число,которое стоит  перед знаком корня

Приложения:

Аноним: супер!)
Похожие вопросы
Предмет: История, автор: sofiaermakova0511
Предмет: Другие предметы, автор: vladislavklochko1
Різке протиставлення образів та понять - це:

а) алегорія; б) антитеза; в) порівняння; г) гіпербола.

2. Твір, призначений для постановки на сцені, називається:

а) гумористичним; б) фольклорним;В) драматичним; г) епічним.

3. Повість - це:

а) розповідь про незвичайну подію з динамічним розвитком сюжету та несподіваним фіналом; б) невеликий за обсягом твір алегоричного характеру; в) середня епічна форма, яка охоплює низку епізодів з життя героя; г) короткий ритмічно організований вислів із повчальним змістом.

4.Хто з поетів доби Відродження розкрив усе багатство й розмаїття проявів кохання:

а)Д.Аліг'єрі; б) Ф. Петрарка; в) В. Шекспір.

5. Тривірш, строфа з відповідним римування 3B найчастіше використовується в сонеті, називається..

6. Що таке притча:

a) невелике оповідання з моральним повчанням; б) невелика казка з висновком; в) фантастичний твір без повчання.​