Предмет: Алгебра,
автор: avetis2009a
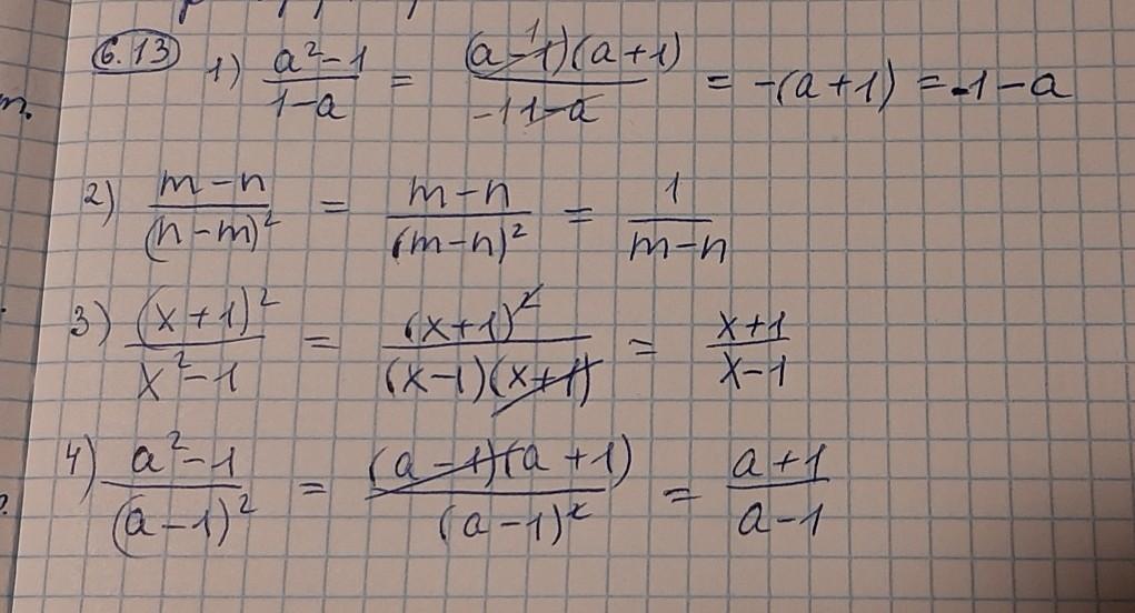
н6.13 , Сократите дроби
Приложения:
Ответы
Автор ответа:
1
сокращённые дроби на фото
Приложения:
Похожие вопросы
Предмет: Математика,
автор: Аноним
Предмет: Русский язык,
автор: akramovanilufar347
Предмет: Русский язык,
автор: marykon505
Предмет: Математика,
автор: romochkagolov
Предмет: Математика,
автор: mironryzkov5