Предмет: Математика,
автор: martinenkopasa18
СРОЧНО!!!!!!!!!!!???!!!!!!
Приложения:
Ответы
Автор ответа:
0
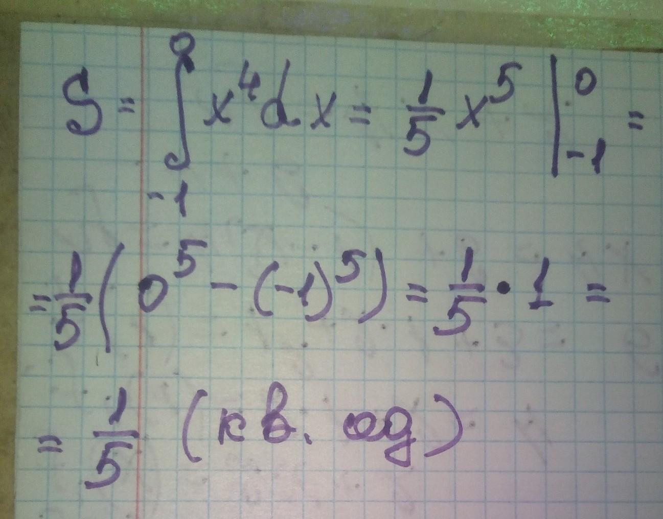
Ответ:
решение смотри на фотографии
Приложения:
martinenkopasa18:
Ще є 4 питання, там тільки А,Б,В
Визначеним інтегралом від рівняння зміни швидкості тіла буде:
1.
миттєва швидкість
2.
шлях
3.
прискорення
4.
робота
1.
миттєва швидкість
2.
шлях
3.
прискорення
4.
робота
можеш на це отвітить
це буде шлях 2.
Похожие вопросы
Предмет: Геометрия,
автор: anastasiaartemenko00
Предмет: Українська мова,
автор: den6128
Предмет: Английский язык,
автор: Аноним
Предмет: Українська література,
автор: MRfox3923
Предмет: Английский язык,
автор: igooooooooooooor