Предмет: Математика, автор: krykotenkosofia311

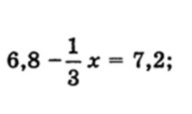
Визначте корінь рівняння

–1,2

1,2

0,4

–0,4

правильної відповіді немає

Приложения:

Ответы

Автор ответа: сок111213
2

Ответ: 1) -1,2

6.8 -  \frac{1}{3} x = 7.2 \\  \frac{1}{3} x = 6.8-7.2 \\  \frac{1}{3} x = -0.4 \\ x = - \frac{2}{5}  \div  \frac{1}{3}  \\ x = - \frac{6}{5}  \\ x =- 1 \frac{1}{5}  \\ x =- 1.2

Похожие вопросы