Предмет: Математика,
автор: dashautyesheva2010
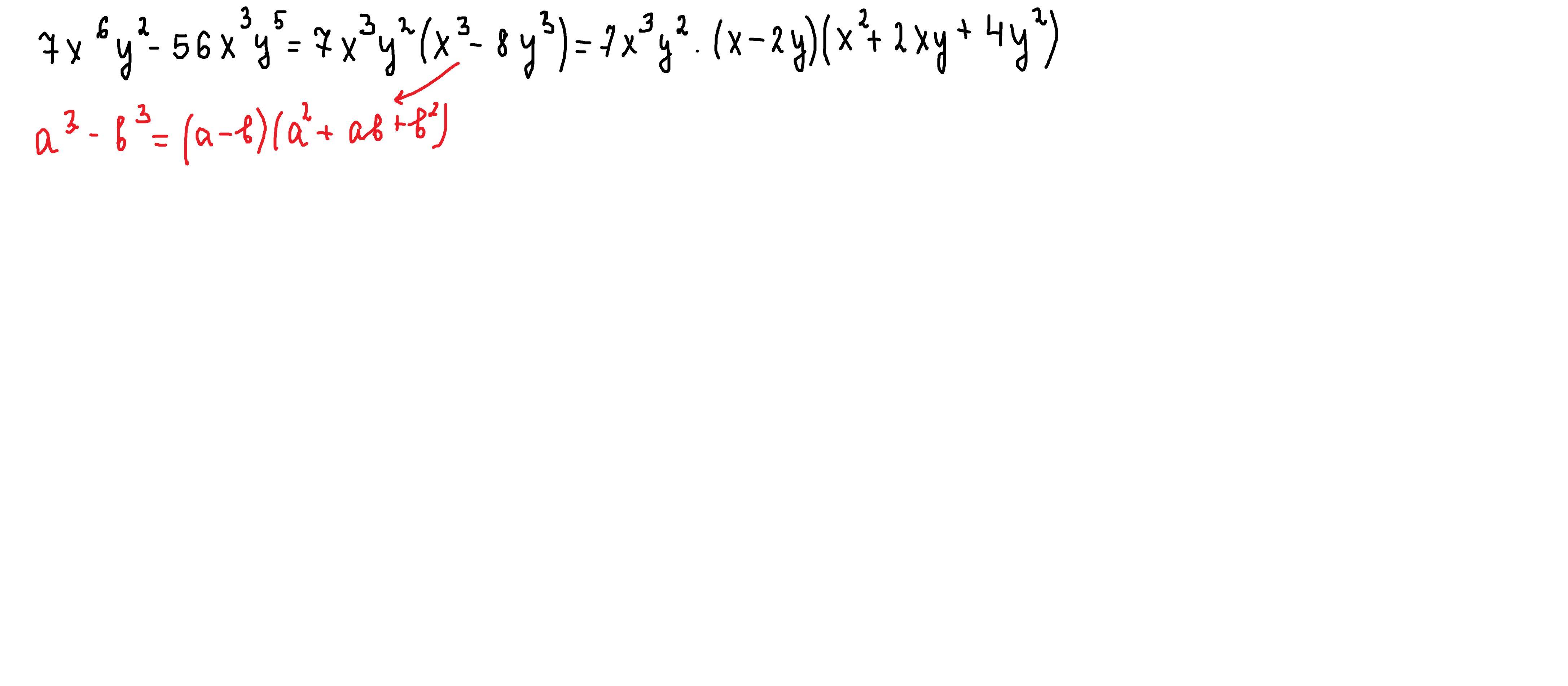
розкласти на множники 7x^6y^2-56x^3y^5
Ответы
Автор ответа:
1
Ответ:
Пошаговое объяснение:
решение внизу
Приложения:
Похожие вопросы
Предмет: Английский язык,
автор: mahaaubakiriva
Предмет: Алгебра,
автор: bimadonb
Предмет: Қазақ тiлi,
автор: hellohellogoodbye14
Предмет: Математика,
автор: neckina907
Предмет: Математика,
автор: arturkamalov2007