Предмет: Алгебра, автор: GgGgGgGgrey

СРОЧНО сделайте плиз. ДАЮ 60 баллов. Задание в скриншоте. Спасибо.

Приложения:

Ответы

Автор ответа: сок111213
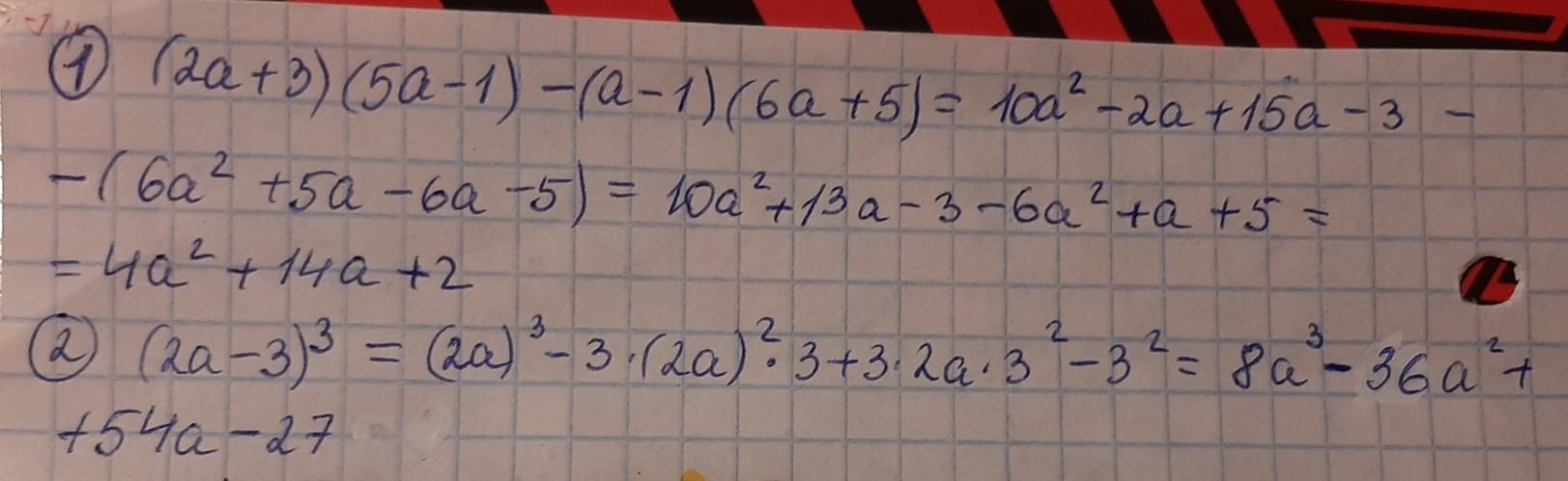
2

упрощение на прикреплённой фотографии

Приложения:
Похожие вопросы
Предмет: Русский язык, автор: tim3331
Русский язык ответьте плиз
1) Одна буква Н пишется:
а. завороже..ый
б. завороже..
в. беше..ый
г. застрое..ый
2)Две буквы Н пишется:
а. жаре..ый картофель
б. жаре..ый в масле картофель
в. картофель пожаре..
г. пожаре..ый картофель
3)Укажите ряд, в котором все слова пишутся с Н.
а. письмо отправле..о, освеще..ый зал, дерево повале..о
б. заколдова..ый лес, моче..ые яблоки, жаре..ые грибы
в. пече..ый картофель, хлеб убра.., пута..ые нитки
4)Укажите ряд, в котором все слова пишутся с НН.
а. рассея..ый человек, рассея..о ветром, спута..ые волосы
б. ране..ый пулей солдат, выстрое..ая школа, сожже..ое письмо
в. грибы собра..ы, дорожки подмете..ы, слома..ая вещь
5)Пишется Н.
а. ране..ый (солдат)
б. украше..ый
в. белье высуше..о
г. общество взбудораже..о
6)Пишется НН.
а. украше..о цветами
б. украше..ый цветами
в. пече..ый в золе
7)Укажите ряд, в котором все слова пишутся с Н.
а. моще..ая дорога, моще..ая булыжником дорога, прерва..ый разговор
б. плете..ая корзина, суше..ые фрукты, моче..ые яблоки
в. плете..ая из веток корзина, суше..ые на солнце фрукты, моче..ые в бочке яблоки
8)Укажите ряд, в котором все слова пишутся с НН.
а. цветы сорва..ы, дети расстроены, расстрое..ый ребенок
б. нарисова..ый, приобрете..ый, ухоже..ый
в. дом сожже.. врагами, соже..ый дом, обрече..ый
9)Две буквы -НН- пишутся в слове:
а. семена рассея...ы
б. слома...а ребенком
в. потуше...а ветром
г. девочка рассея...а




10)Одна - Н - пишется в слове:
а. засыпа...ая яма
б. распуще...ые волосы
в. разукраше...ая витрина
г. нечище...ые сапоги

11) Укажите слово, в котором написание - Н - НН - зависит от наличия зависимого слова:
а. устрое...ы
б. жаре...ый
в. купле...ый
г. растерза...ый

12) Одна -Н- пишется в слове:
а. оборва..ая нить
б. разреза..ое яблоко
в. нежаре..ый лук
г. загрязне..ый воздух

13)Две -НН- пишутся в слове:
а. рубле..ый дом
б. бракова..ый товар
в. кова..ый сундук
г. кипяче..ая вода